Quantitative Assessment of Rectal Dose–Volume Histogram (DVH) Constraint Deviations in Image-Guided Hypofractionated Prostate Radiotherapy
Abstract
Introduction: We aimed to investigate changes in rectal dose during the treatment course for prostate cancer patients treated with hypofractionated radiotherapy with daily image-guidance.
Methodology: This study included 20 prostate cancer patients treated with VMAT hypofractionated RT (60 Gy/20 Fr). IMRT- VMAT planning was performed using simulation CT images. Four patients were excluded due to inability to plan with CBCT images. Patient set-up correction shifts was used as a mesure of the daily Inter-fraction motion. The rectum was outlined on both the original treatment plan and the subsequent daily CBCT images by the same investigator. Rectal doses from the daily CT images were recalculated and compared to the original treatment plan, applying clinical acceptance criteria (V60 < 3%, V52.8 < 30%, V48.6 < 50%, and V40.8 < 60%). Rectal volume variations (V0-VX) and dose constraints were assessed for DVH compliance using post-hoc analysis and repeated measures ANOVA. Linear regression was used to evaluate the relationship between mean rectal dose constraints and rectal volume variations across all patients.
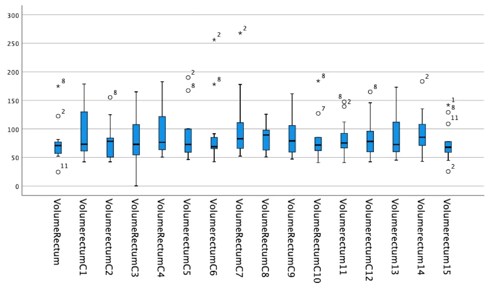
Results: Data from 16 patients with 240 daily CBCT sets were analyzed. Mean Rectal volume variation was -0.54 [- 69,76-67cc] (Figure1-A). The mean values for V60, V52.8, V48.6, and V40.8 were 2.58[0-6.15], 5.45[0-10.98], 8.47 [1.48-18.01], 11.73[4.41-23.58] and 18.69[8.69-34,91], respectively (Figure1-B). Repeated measures ANOVA analysis revealed that 7,5% (18/240), 93,75% (225/240), 14,5% (35/240), 1,25% (3/240) and 1,25% (3/240) of the subsequent treatment dose distributions did not meet our criterion of V60 < 3%, V57 <15 %, V52.8 < 30%, V48.6 < 50% and V40.8 < 60%, respectively.
The inter-fractional rectal volume variation was non-significant. (Friedman-test p=0,97). However, the variation of rectal dose constraints was significative for V57 (p=0.003), V52,8 (p=0.01) and V48.6 (p<0.0001) but not for V60 (p=0.058). The linear regression model showed a negative coefficient estimate between the mean rectal volume variation and the V57 (p<0.001) and V48.6 (p<0.001). Furthermore, a variation in rectal volume beyond 57.6 cc was significantly associated with violations of all rectal dose constraints (p < 0.001) (Table 1).The correlation between the variation in mean rectal volume and the variation in dose constraints was most significant during the fourth week of treatment (p = 0.015).
Conclusion: Image guided radiotherapy enabled compliance with rectal dose constraints in over 80% of treatment courses, meeting our clinical acceptance criteria. However, the V57 Gy constraint was not met in 93% of cases, de- spite moderate inter-fractional rectal volume variations. A toxicity evaluation is needed to assess the clinical significance of this constraint.

Figure 1-A: Mean rectal volume variation (cc) during treatment course.

Figure 1-B: Mean rectal doses constraints variation (%) for all patients during course treatment
| Rectal volume variation (cc) | |||||||||||
|---|---|---|---|---|---|---|---|---|---|---|---|
| Mean RDC*(Gy) | 16,94 | 22,27 | 41,83 | 46,31 | 50,8 | 57,62 | |||||
| V60 | P=0.204 | P=0.000 | P<0.000 | P=0.006 | P<0.000 | P<0.000 | |||||
| V57 | P=0.582 | P=0.06 | P=0.002 | P=0.082 | P<0.000 | P<0.000 | |||||
| V52.8 | P=0.233 | P=0.177 | P=0.922 | P=0.023 | P=0.054 | P<0.000 | |||||
| V48.6 | P=0.728 | P=0.252 | P=0.454 | P=0.322 | P=0.122 | P<0.000 | |||||
| V40.8 | P=0.342 | P=0.84 | P=0.433 | 0=0.07 | P=0.052 | P<0.000 | |||||
Conflict of interests: The authors declare no conflict of interest.
Funding: This research received no specific grant from any funding agency in the public, commercial, or not-for-profit sectors.
License: ©️ Author(s) 2026. This is an open access article distributed under the terms of the Creative Commons Attribution 4.0 International License (CC BY 4.0), which permits unrestricted use, distribution, and reproduction in any medium, and unrestricted adaptation and reuse, including for commercial purposes, provided you give appropriate credit to the original author(s) and the source, provide a link to the Creative Commons license, and indicate if changes were made.
To view a copy of this license, visit https://creativecommons.org/licenses/by/4.0/.